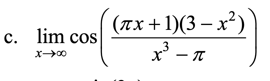
Question: (rx + 1)(3 x2) c. lim cos


(rx + 1)(3 x2) c. lim cos
Step by Step Solution
There are 3 Steps involved in it
Get step-by-step solutions from verified subject matter experts


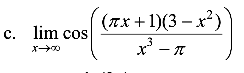
(rx + 1)(3 x2) c. lim cos
There are 3 Steps involved in it
Get step-by-step solutions from verified subject matter experts