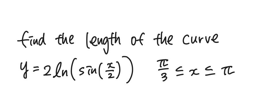
Question: -Gmd (emofh 04 -flu Curve


-Gmd (emofh 04 -flu Curve
Step by Step Solution
There are 3 Steps involved in it
Get step-by-step solutions from verified subject matter experts


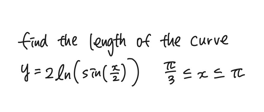
-Gmd (emofh 04 -flu Curve
There are 3 Steps involved in it
Get step-by-step solutions from verified subject matter experts