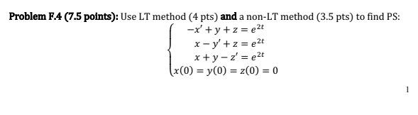
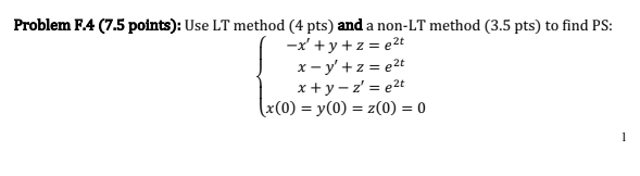
Question: ProblemF.4 (7S poine): Use LT method (4 pts) a non-LT method (3.5 pts) to find PS: x + y z' = e2t x(O) =


ProblemF.4 (7S poine): Use LT method (4 pts) a non-LT method (3.5 pts) to find PS: x + y z' = e2t x(O) = y(O) = z(0) = 0
Step by Step Solution
There are 3 Steps involved in it
Get step-by-step solutions from verified subject matter experts
