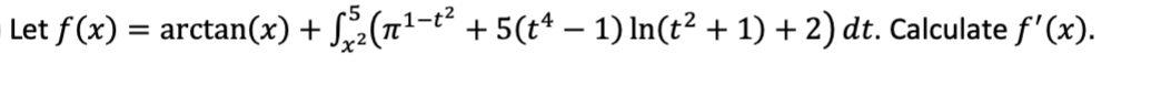
Question: Let f (x) = arctan(x) + 1) In(t2 + 1) + 2) dt. Calculate f' (x). + 5(t4


Let f (x) = arctan(x) + 1) In(t2 + 1) + 2) dt. Calculate f' (x). + 5(t4
Step by Step Solution
There are 3 Steps involved in it
Get step-by-step solutions from verified subject matter experts
