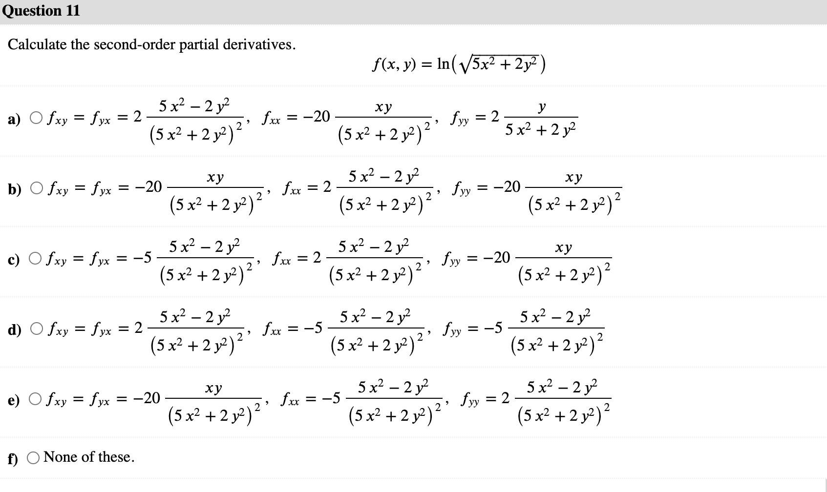
Question: Question 11 Calculate the second-order partial derivatives. f(x, y) = 5x2 + ) fix = -20 fxx=2 = -20 = -20 = _ 20


Question 11 Calculate the second-order partial derivatives. f(x, y) = 5x2 + ) fix = -20 fxx=2 = -20 = -20 = _ 20 f) = fix = 2 = fix = 2 None of these. 5 -2y2 xy 5 -2y2 xy xy , fxx = -20 fxx=2 , fxx=-5 fyy=2 5 - 2y2 (5 x2 2 y2)2 5 - 2y2 5 x2 2 , fyy=-5 (5 x2 2 y2)2 5 x2 2 fyy 5 x2 + 2 Y2 xy xy 5 - 2y2 (5 x2 2 y2)2 5 - 2y2 (5 x2 2 y2)2
Step by Step Solution
There are 3 Steps involved in it
Get step-by-step solutions from verified subject matter experts
