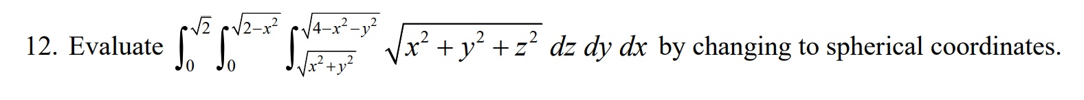
Question: 2-x2 12. Evaluate dz dy dx by changing to spherical coordinates.


2-x2 12. Evaluate dz dy dx by changing to spherical coordinates.
Step by Step Solution
There are 3 Steps involved in it
Get step-by-step solutions from verified subject matter experts
