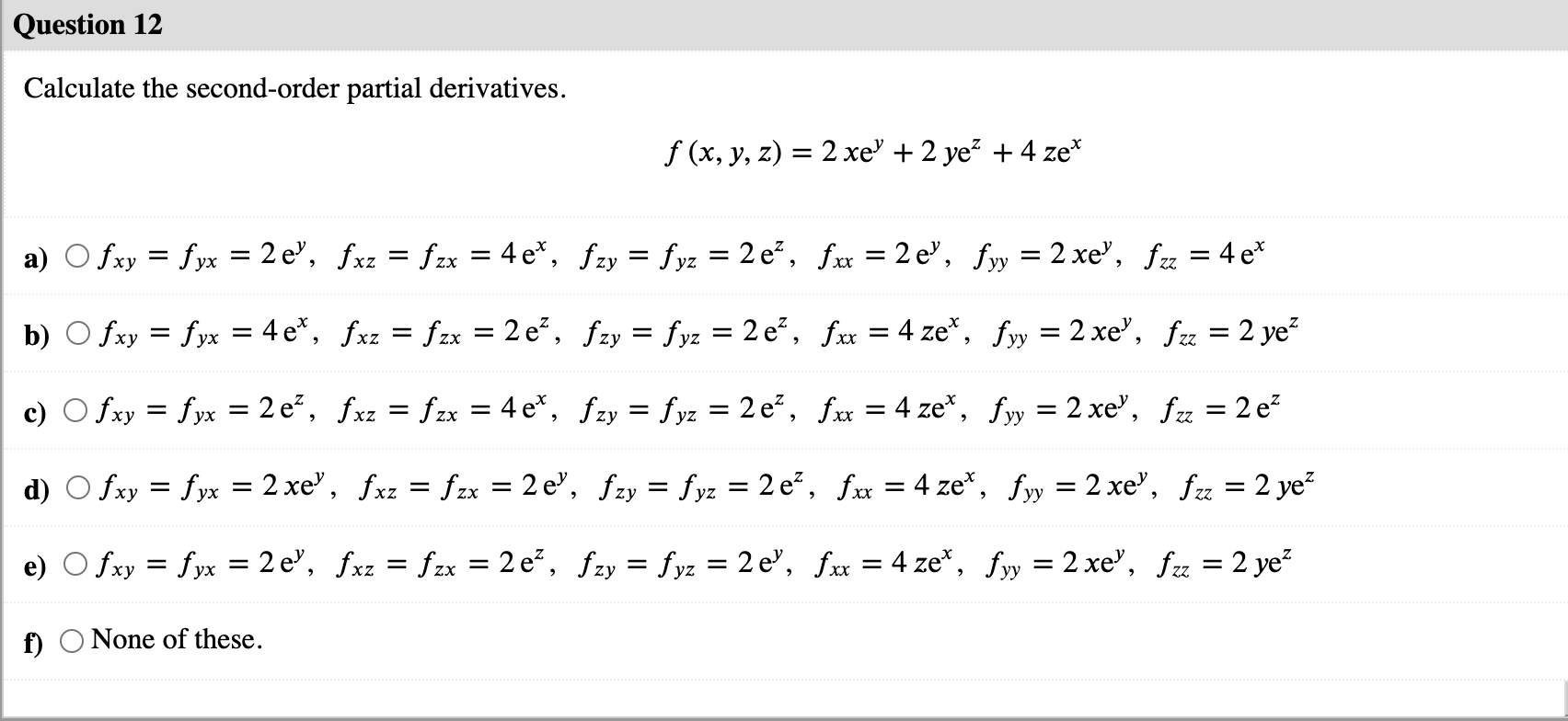
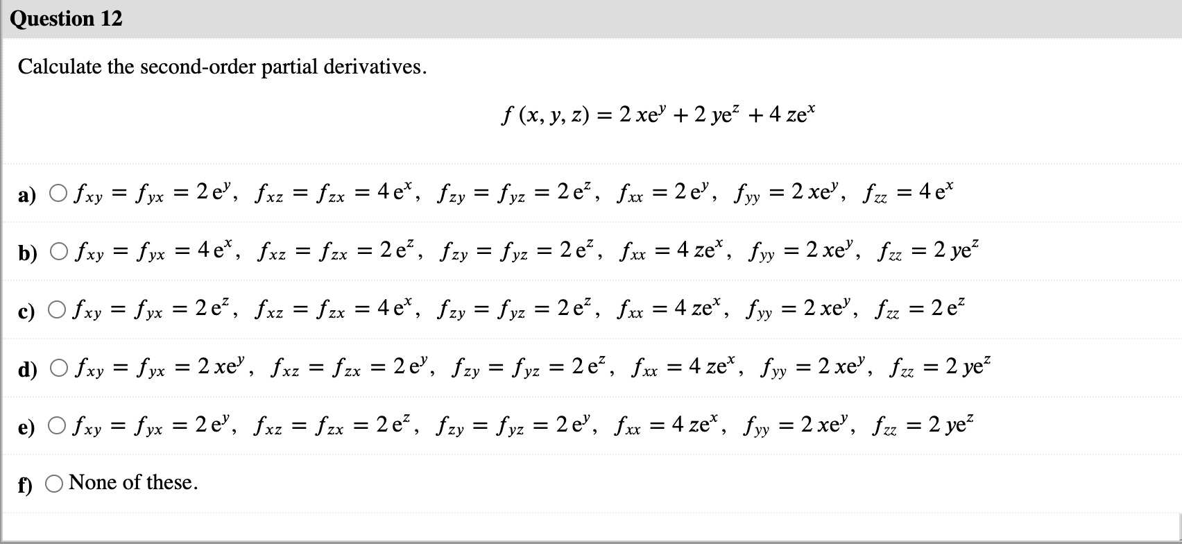
Question: Question 12 Calculate the second-order partial derivatives. f (x, y, z) = 2 xeY + 2 yez + 4 zex , _ fzx x


Question 12 Calculate the second-order partial derivatives. f (x, y, z) = 2 xeY + 2 yez + 4 zex , _ fzx x , fzx z , _ fzx x , fyz fzx - fyz = fyz = fix - fyx = 2 yez fxx fyx = 2xeY, fxz -fyx=2eY fxz- = -2eY, fzy- , =2eZ, fxx- fxx=2eY, f =2xeY, f fxx=4zeX, fyy = 4 zex, fyy xx4zeX, fyy 4 zex, fyy 2 xeY, fzz 2xeY, fzz=2eZ 2xeY, fzz 2xeY, .fzz 2 yez f) None of these.
Step by Step Solution
There are 3 Steps involved in it
Get step-by-step solutions from verified subject matter experts
