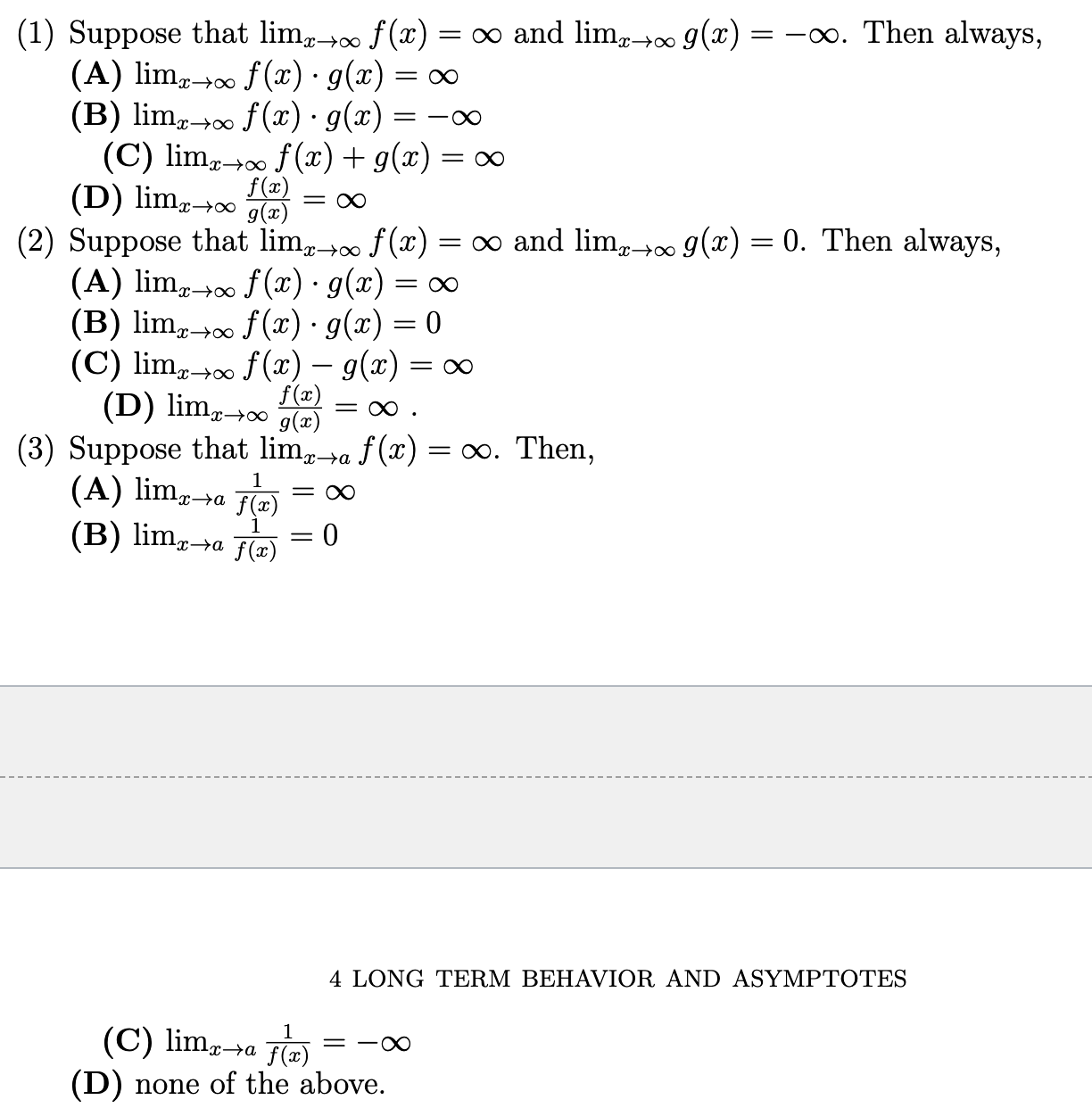
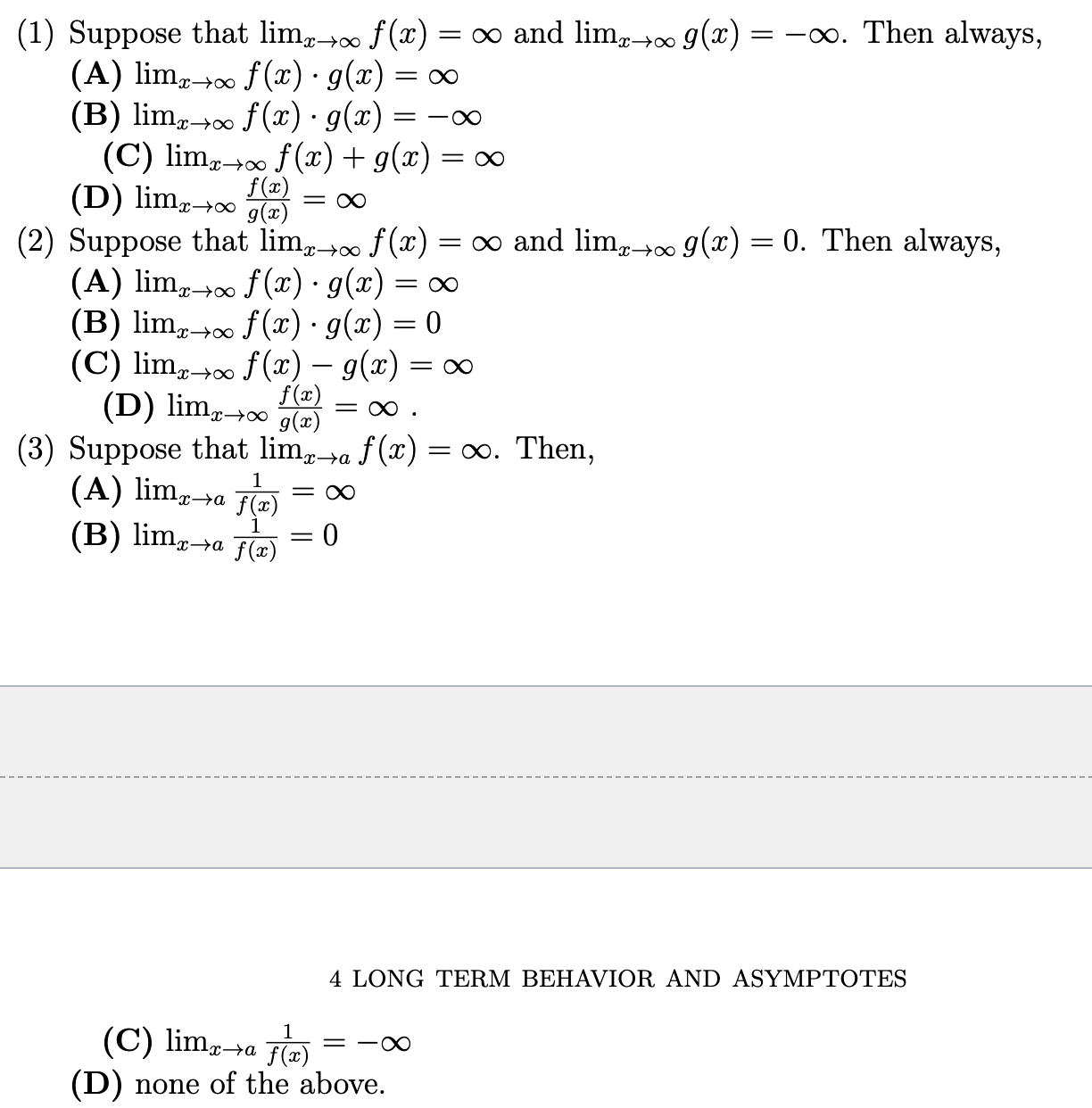
Question: (1) Suppose that lilliX+00 f@) 00 and limC*00 g@) = 00. Then always, (A) lilliC*00 g@) (B) limC+00 f@) g@) (C) limC+00 f@) +


(1) Suppose that lilliX+00 f@) 00 and limC*00 g@) = 00. Then always, (A) lilliC*00 g@) (B) limC+00 f@) g@) (C) limC+00 f@) + g@) 00 (2) Suppose that lim_+00 f@) 00 and g@) = 0. Then always, (B) lim_+00 g@) = 0 (C) limc_+00 g@) = 00 (D) lim (3) Suppose that lim_+a f@) = 00. Then, 1 (A) lim 1 (B) lim 4 LONG TERM BEHAVIOR AND ASYMPTOTES (C) limc-+a j(Gj (D) none of the above.
Step by Step Solution
There are 3 Steps involved in it
Get step-by-step solutions from verified subject matter experts
