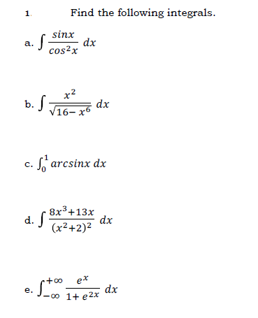
Question: Find the following integrals. a f sinx dx cos2x dx 16 X c. arcsinx dx dx (x2+2)2 dx


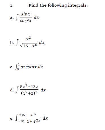
Find the following integrals. a f sinx dx cos2x dx 16 X c. arcsinx dx dx (x2+2)2 dx
Step by Step Solution
There are 3 Steps involved in it
Get step-by-step solutions from verified subject matter experts
