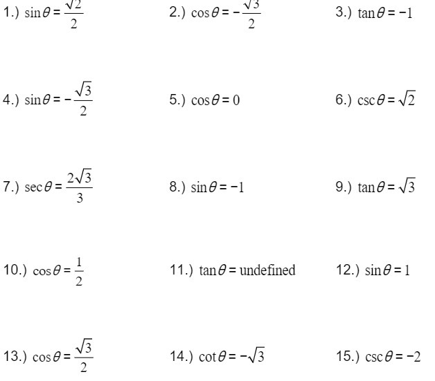
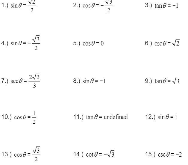
Question: 1.) sin9= 2 4.) sin9= 2 2vG 7.) sece= 3 10.) cos9= 2 13.) cose= 2 2.) cos9= 2 5.) cos9=0 8.) sine=- 1


1.) sin9= 2 4.) sin9= 2 2vG 7.) sece= 3 10.) cos9= 2 13.) cose= 2 2.) cos9= 2 5.) cos9=0 8.) sine=- 1 1 tanB= undefined 14.) cotB= 3.) tan8= 6.) csc8= N'fi 9.) tanB= 12.) sine-I 15.) csc9= -2
Step by Step Solution
There are 3 Steps involved in it
Get step-by-step solutions from verified subject matter experts
