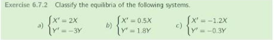
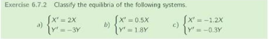
Question: Exercise 6.7.2 Classify the equililyja of the follovving systems. X' = -1.2X X' 0.5X b) c)


Exercise 6.7.2 Classify the equililyja of the follovving systems. X' = -1.2X X' 0.5X b) c)
Step by Step Solution
There are 3 Steps involved in it
Get step-by-step solutions from verified subject matter experts
