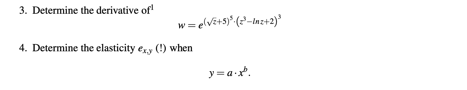
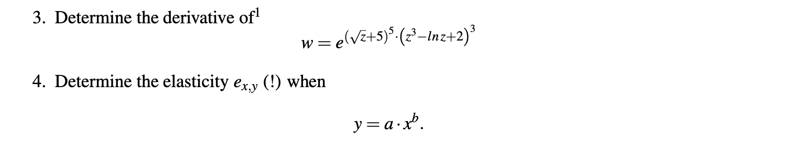
Question: 3. Determine the derivative ofl w (z3 Inz+2)3 4. Determine the elasticity ex,y (!) when


3. Determine the derivative ofl w (z3 Inz+2)3 4. Determine the elasticity ex,y (!) when
Step by Step Solution
There are 3 Steps involved in it
Get step-by-step solutions from verified subject matter experts
