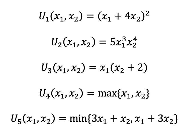
Question: = (Xl + 4X2)2 = 5x?X24 = Xl(X2 + 2) u4(x1, x2) = max{xl, x2} = min{3x1 + x2, + 3x2}


= (Xl + 4X2)2 = 5x?X24 = Xl(X2 + 2) u4(x1, x2) = max{xl, x2} = min{3x1 + x2, + 3x2}
Step by Step Solution
There are 3 Steps involved in it
Get step-by-step solutions from verified subject matter experts
