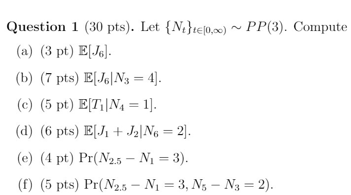
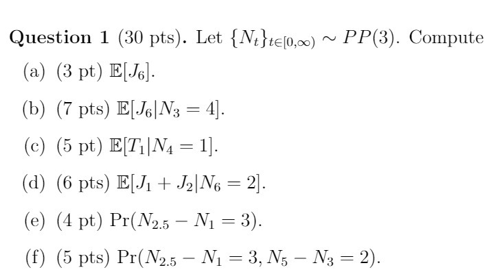
Question: Question 1 (30 pts). Let P (3). Compute (b) (c) (d) (e) (f) (3 pt) E[J6]. (7 pts) E[J61N3 4]. (5 pt) E[T11N4 1].

![(f) (3 pt) E[J6]. (7 pts) E[J61N3 4]. (5 pt) E[T11N4 1].](https://s3.amazonaws.com/si.experts.images/answers/2024/06/666cbe4023363_624666cbe401e2aa.jpg)
Question 1 (30 pts). Let P (3). Compute (b) (c) (d) (e) (f) (3 pt) E[J6]. (7 pts) E[J61N3 4]. (5 pt) E[T11N4 1]. (6 pts) E[JI + J21N6 (4 pt) Pr(N2.5 - NI 3) (5 pts) Pr(N2.5 NI
Step by Step Solution
There are 3 Steps involved in it
Get step-by-step solutions from verified subject matter experts
