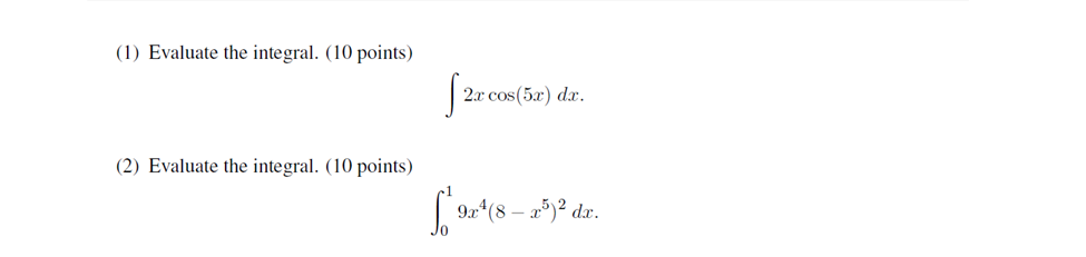
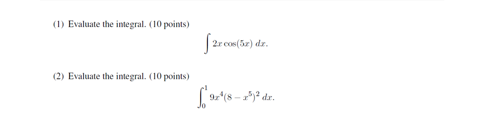
Question: (l) Evaluate the integral. (10 points) d:r. (2) Evaluate the integral. (10 points) 9.r4(8 x5)2 dr.


(l) Evaluate the integral. (10 points) d:r. (2) Evaluate the integral. (10 points) 9.r4(8 x5)2 dr.
Step by Step Solution
There are 3 Steps involved in it
Get step-by-step solutions from verified subject matter experts
