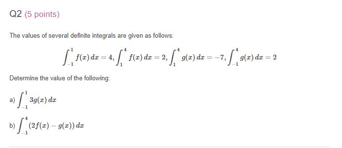
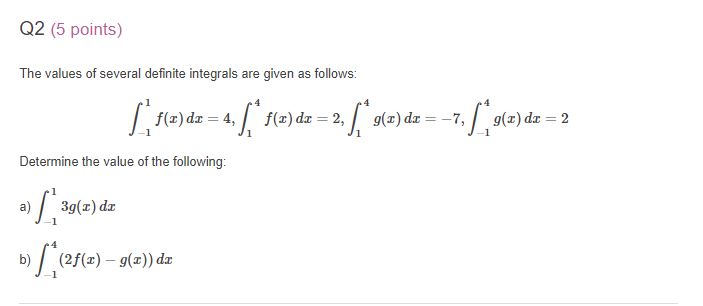
Question: Q2 (5 points) The values of several definite integrals are given as follows: 7 41 g(x) dr 2 Determine the value of the following:


Q2 (5 points) The values of several definite integrals are given as follows: 7 41 g(x) dr 2 Determine the value of the following: 3g(x) (2f(x) g(x)) dz
Step by Step Solution
There are 3 Steps involved in it
Get step-by-step solutions from verified subject matter experts
