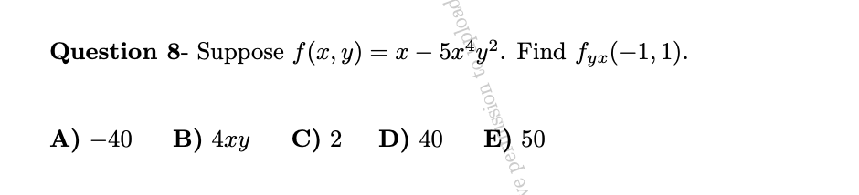
Question: Question 8- Suppose y) = .T 5T4g2. Find 1). A) -40 B) 4xy C) 2 D) 40 E) 50


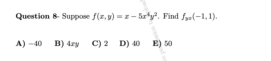
Question 8- Suppose y) = .T 5T4g2. Find 1). A) -40 B) 4xy C) 2 D) 40 E) 50
Step by Step Solution
There are 3 Steps involved in it
Get step-by-step solutions from verified subject matter experts
