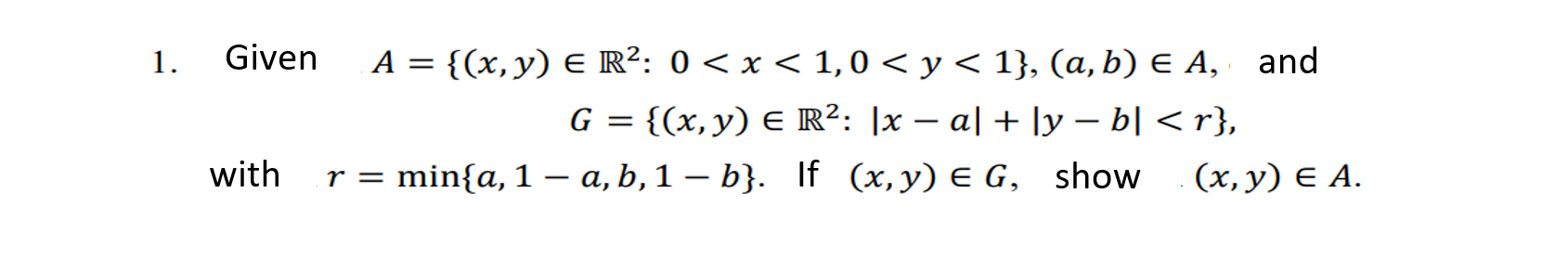
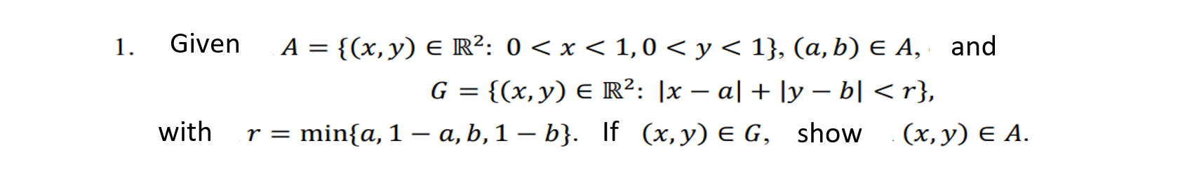
Question: 1. Given A = {(x,y) e r: 0 < x < < y < 1), (a, b) e A, and G = {(x,y) e


1. Given A = {(x,y) e r: 0 < x < < y < 1), (a, b) e A, and G = {(x,y) e r: with r = min{a, 1 a, b, 1 b). If (x, y) e G, show
Step by Step Solution
There are 3 Steps involved in it
Get step-by-step solutions from verified subject matter experts
