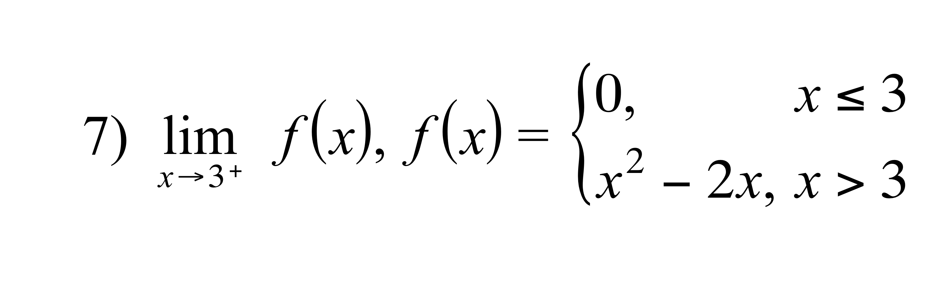
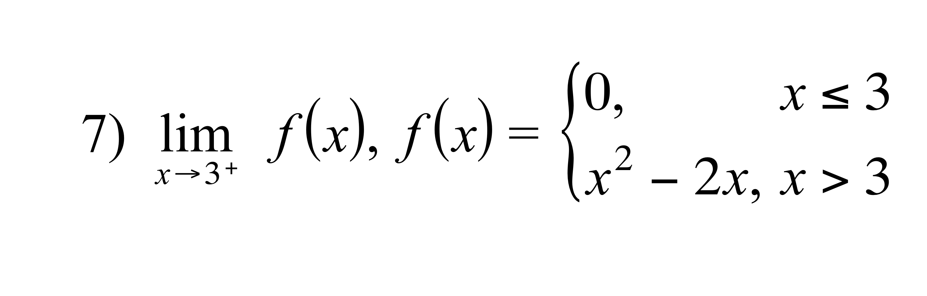
Question: O, 7) lim f (x), f (x) 21, X > 3 2


O, 7) lim f (x), f (x) 21, X > 3 2
Step by Step Solution
There are 3 Steps involved in it
1 Expert Approved Answer
Step: 1 Unlock
Question Has Been Solved by an Expert!
Get step-by-step solutions from verified subject matter experts
Step: 2 Unlock
Step: 3 Unlock
