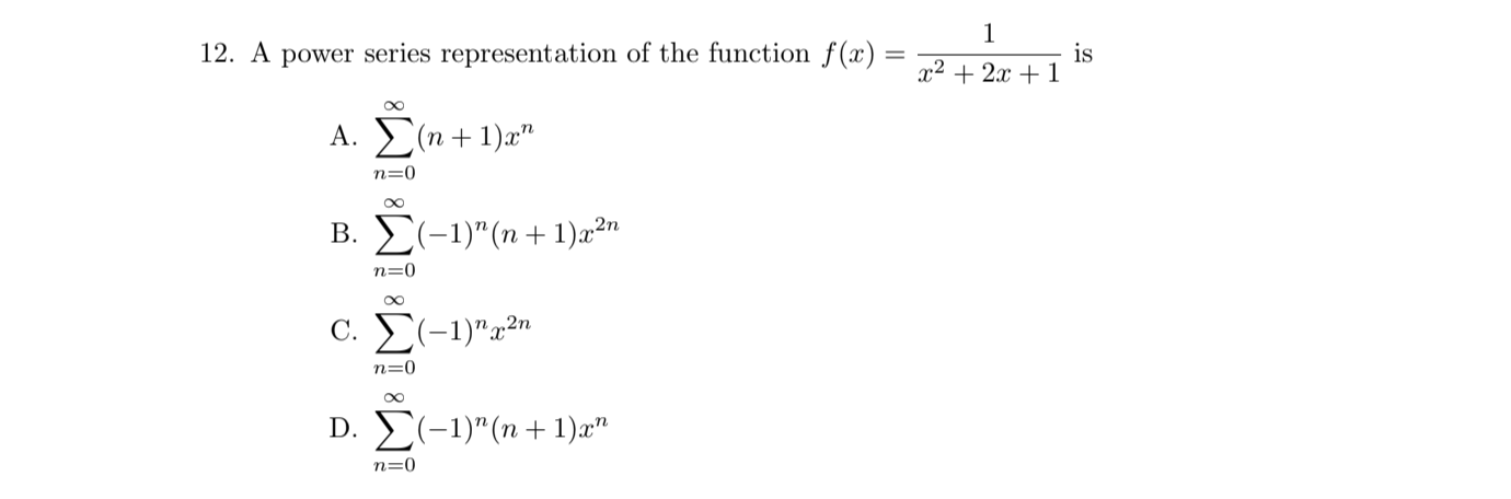
Question: 1 12. A power series representation of the function f (.T,) = is


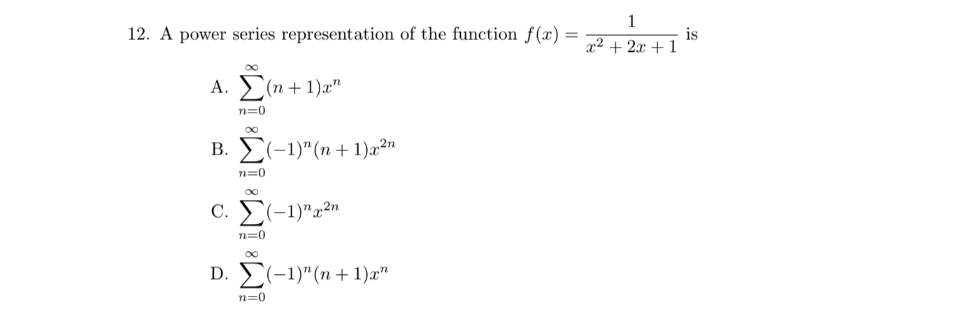
1 12. A power series representation of the function f (.T,) = is
Step by Step Solution
There are 3 Steps involved in it
Get step-by-step solutions from verified subject matter experts
