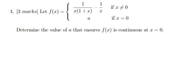
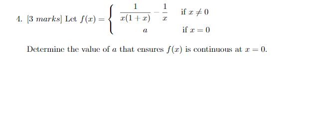
Question: 4. 13 marks] Let J (:r) 1 if O if :r = O Determine the value of a that ensures f ('.r) is continuous
![4. 13 marks] Let J (:r) 1 if O if :r =](https://s3.amazonaws.com/si.experts.images/answers/2024/06/666e32b970894_977666e32b95f568.jpg)

4. 13 marks] Let J (:r) 1 if O if :r = O Determine the value of a that ensures f ('.r) is continuous at :r
Step by Step Solution
There are 3 Steps involved in it
Get step-by-step solutions from verified subject matter experts
