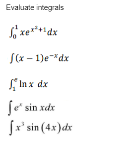
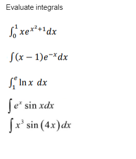
Question: Evaluate integrals x2+1dx f (x 1)e-Xdx Tie Inx dx ex sin xdx x 3 sin (4x)dx


Evaluate integrals x2+1dx f (x 1)e-Xdx Tie Inx dx ex sin xdx x 3 sin (4x)dx
Step by Step Solution
There are 3 Steps involved in it
Get step-by-step solutions from verified subject matter experts
