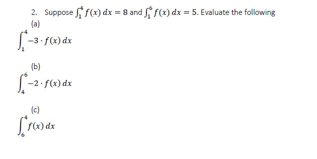
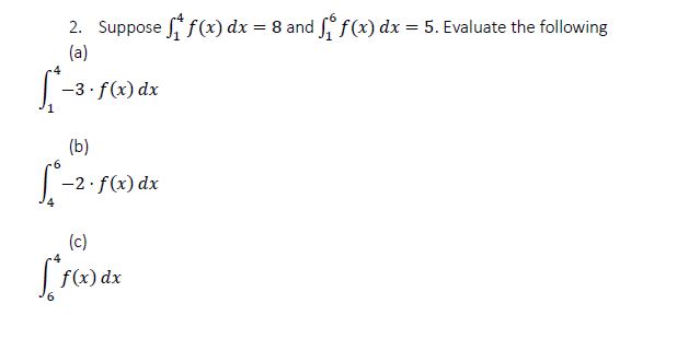
Question: 2. Suppose f (x) dx = 8 and 116 f (x) dx 3 f (x) dx 2 f (x) dx f (x) dx 5.


2. Suppose f (x) dx = 8 and 116 f (x) dx 3 f (x) dx 2 f (x) dx f (x) dx 5. Evaluate the following
Step by Step Solution
There are 3 Steps involved in it
Get step-by-step solutions from verified subject matter experts
