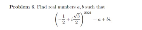
Question: Problem 6. Find real numbers a, b such that


Problem 6. Find real numbers a, b such that
Step by Step Solution
There are 3 Steps involved in it
Get step-by-step solutions from verified subject matter experts


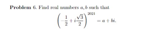
Problem 6. Find real numbers a, b such that
There are 3 Steps involved in it
Get step-by-step solutions from verified subject matter experts