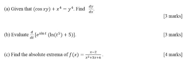
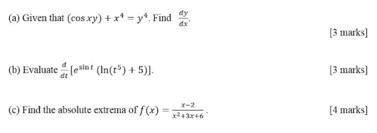
Question: (a) Given that (cosxy) + x4 y 4. Find (b) Evaluate [e (In(t5) + 5)]. sin t (c) Find the absolute extrema of f

![(In(t5) + 5)]. sin t (c) Find the absolute extrema of f](https://s3.amazonaws.com/si.experts.images/answers/2024/06/66707d5d94195_15766707d5d8dd2b.jpg)
(a) Given that (cosxy) + x4 y 4. Find (b) Evaluate [e (In(t5) + 5)]. sin t (c) Find the absolute extrema of f (x) dy [3 marks] [3 marks] [4 marks]
Step by Step Solution
There are 3 Steps involved in it
Get step-by-step solutions from verified subject matter experts
