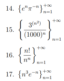
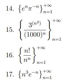
Question: 14. {ennn 15. (1000)n 16. 17. {n3e-n


14. {ennn 15. (1000)n 16. 17. {n3e-n
Step by Step Solution
There are 3 Steps involved in it
Get step-by-step solutions from verified subject matter experts
