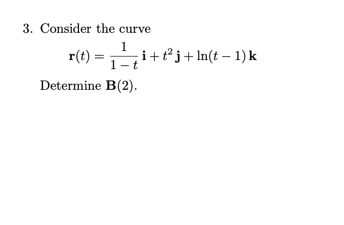
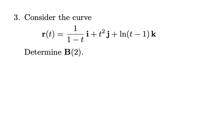
Question: 3. Consider the curve 1 i t2j + In(t 1) k r(t) = Determine B(2).


3. Consider the curve 1 i t2j + In(t 1) k r(t) = Determine B(2).
Step by Step Solution
There are 3 Steps involved in it
Get step-by-step solutions from verified subject matter experts
