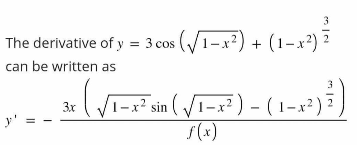
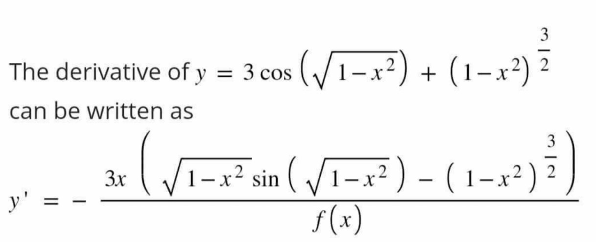
Question: The derivative of y can be written as = 3 cos sin x Ix + (Ix2 ( Ix2


The derivative of y can be written as = 3 cos sin x Ix + (Ix2 ( Ix2
Step by Step Solution
There are 3 Steps involved in it
Get step-by-step solutions from verified subject matter experts
