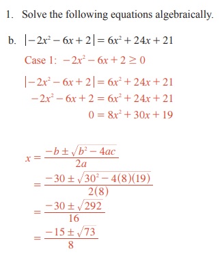
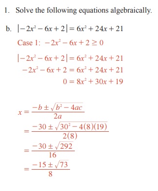
Question: Solve the following equations algebraically. 2x2 + 2 = + 24x4- 21 . 2x26x+220 Case 1 212 + 2 = 21 2x2 6x +


Solve the following equations algebraically. 2x2 + 2 = + 24x4- 21 . 2x26x+220 Case 1 212 + 2 = 21 2x2 6x + 2 = 21 0 = + 30x+ 19 b 4ac -30 2(8) -30 0092 16 -15 8
Step by Step Solution
There are 3 Steps involved in it
Get step-by-step solutions from verified subject matter experts
