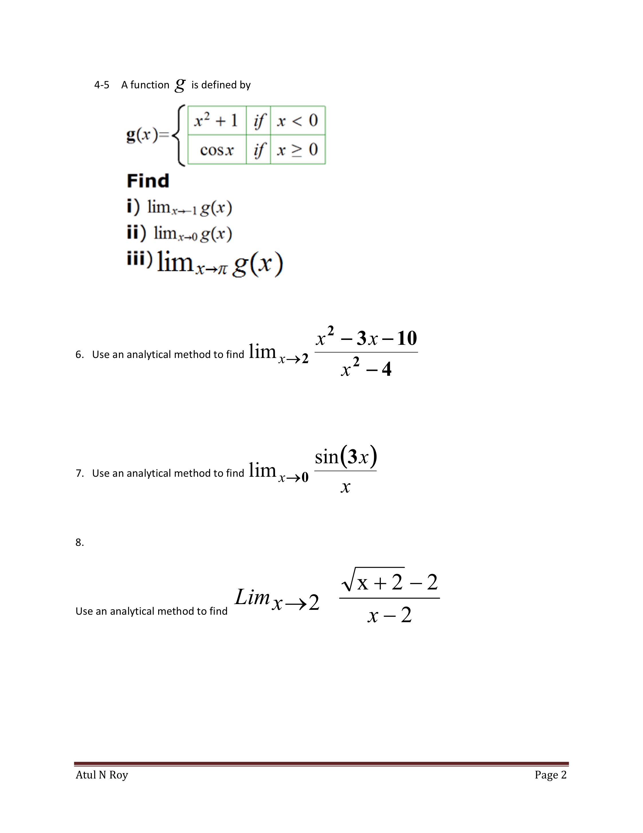
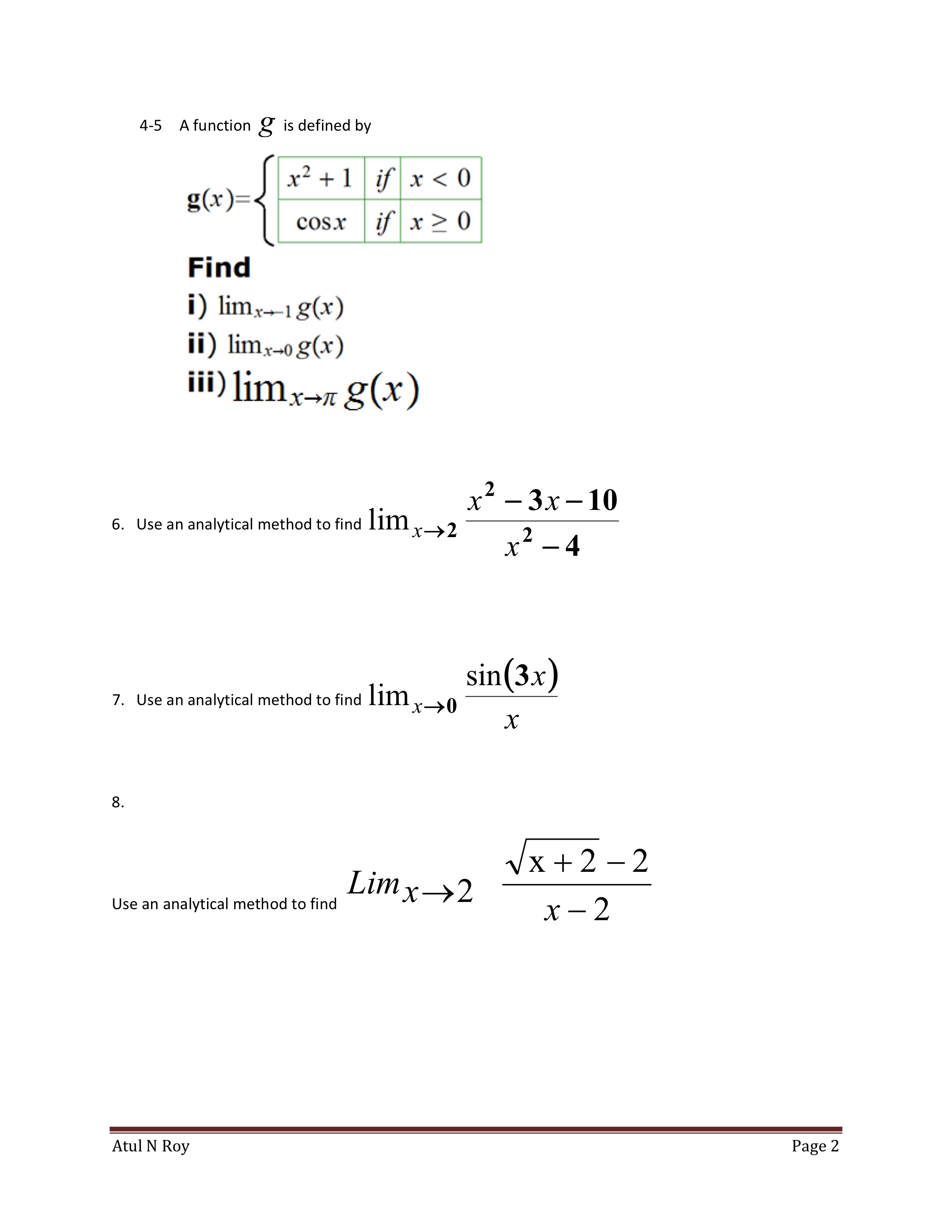
Question: 4-5 Afunction g is defined by x2+1 if x < 0 g(x)- cosx if x ? 0 Find i) limxl g(x) ii) limx-og(x) iii)


4-5 Afunction g is defined by x2+1 if x < 0 g(x)- cosx if x ? 0 Find i) limxl g(x) ii) limx-og(x) iii) limx-n g(x) x 3x10 6. Use an analytical method to find 11m sin(3x) 7. Use an analytical method to find 11m x 8. Use an analytical method to find Atul N Roy 2 Page 2
Step by Step Solution
There are 3 Steps involved in it
Get step-by-step solutions from verified subject matter experts
