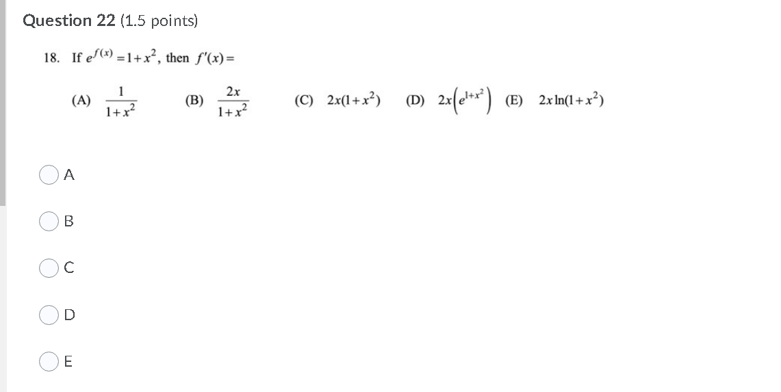
Question: Question 22 (1.5 points) 18. If ef(x) = 1+x2, then f '(x) = (A) (B) (C) 2x(1+X2) (E) 2x1n(1+x2)


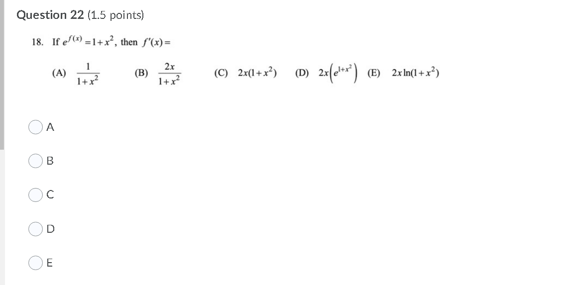
Question 22 (1.5 points) 18. If ef(x) = 1+x2, then f '(x) = (A) (B) (C) 2x(1+X2) (E) 2x1n(1+x2)
Step by Step Solution
There are 3 Steps involved in it
Get step-by-step solutions from verified subject matter experts
