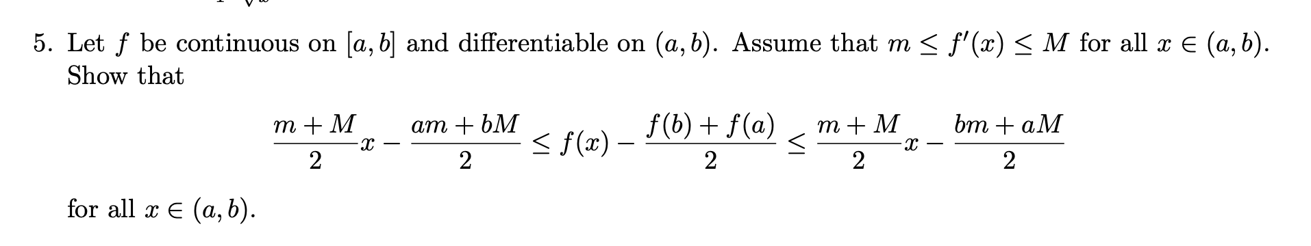
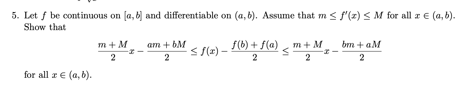
Question: 5. Let f be continuous on [a, b] and differentiable on (a, b). Assume that m f/ (x) M for all e (a, b).
![5. Let f be continuous on [a, b] and differentiable on (a,](https://s3.amazonaws.com/si.experts.images/answers/2024/06/6679d29a73e0d_8026679d29a49f65.jpg)

5. Let f be continuous on [a, b] and differentiable on (a, b). Assume that m f/ (x) M for all e (a, b). Show that 2 for all e (a, b). 2 2 2 2
Step by Step Solution
There are 3 Steps involved in it
Get step-by-step solutions from verified subject matter experts
