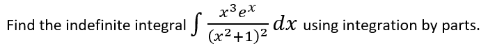
Question: dX using integration by parts. Find the indefinite integral (x 2+1) 2


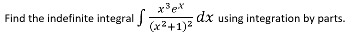
dX using integration by parts. Find the indefinite integral (x 2+1) 2
Step by Step Solution
There are 3 Steps involved in it
Get step-by-step solutions from verified subject matter experts
