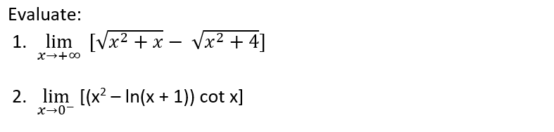
Question: Evaluate: 1. lim [ F + x _ 2. lim 1)) cot x]

![x]](https://s3.amazonaws.com/si.experts.images/answers/2024/06/667b371961192_065667b37194ebe2.jpg)
Evaluate: 1. lim [ F + x _ 2. lim 1)) cot x]
Step by Step Solution
There are 3 Steps involved in it
Get step-by-step solutions from verified subject matter experts
