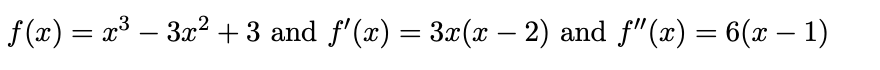
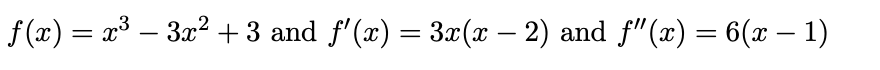
Question: = 3x2 + 3 and f' (x) = 3C(x 2) and f (x) = 6@ 1)

= 3x2 + 3 and f' (x) = 3C(x 2) and f"
(x) = 6@ 1)

= 3x2 + 3 and f' (x) = 3C(x 2) and f" (x) = 6@ 1)

Step by Step Solution

There are 3 Steps involved in it

1 Expert Approved Answer
Step: 1 Unlock blur-text-image
Question Has Been Solved by an Expert!

Get step-by-step solutions from verified subject matter experts

Step: 2 Unlock
Step: 3 Unlock

Students Have Also Explored These Related Mathematics Questions!