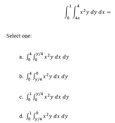
Question: x2y dy dx Select one: a. x2y dx dy f y/ 4 x2y dx dy c. d dx dy


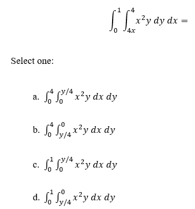
x2y dy dx Select one: a. x2y dx dy f y/ 4 x2y dx dy c. d dx dy
Step by Step Solution
There are 3 Steps involved in it
Get step-by-step solutions from verified subject matter experts
