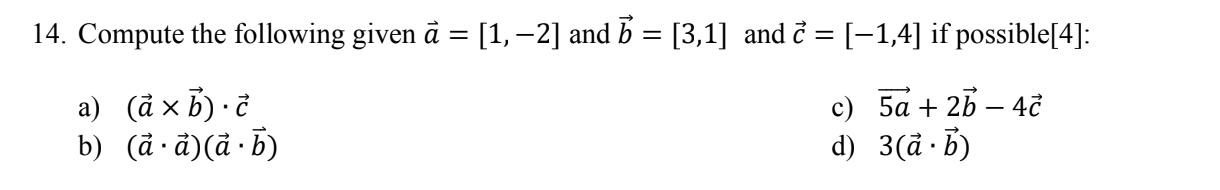
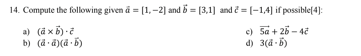
Question: 14. Compute the following given = [1, 2] and b) ( )( b) = [3,1] and = [1,4] if possible[4]: 5a + 2B 4
![14. Compute the following given = [1, 2] and b) ( )(](https://s3.amazonaws.com/si.experts.images/answers/2024/06/667ce8d94b4b1_105667ce8d92649e.jpg)
![b) = [3,1] and = [1,4] if possible[4]: 5a + 2B 4](https://s3.amazonaws.com/si.experts.images/answers/2024/06/667ce8d9985a0_105667ce8d97bcec.jpg)
14. Compute the following given = [1, 2] and b) ( )( b) = [3,1] and = [1,4] if possible[4]: 5a + 2B 4 c) d)
Step by Step Solution
There are 3 Steps involved in it
Get step-by-step solutions from verified subject matter experts
