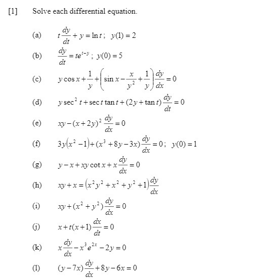
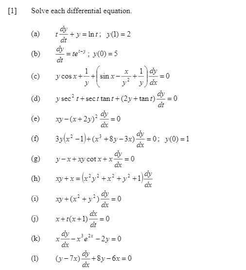
Question: Solve each differential equation. (b) (d) (e) (f) (g) (i) G) (k) (1) t+y Int; y(l) 2 tct-y y(O) = dt x 1 dy


Solve each differential equation. (b) (d) (e) (f) (g) (i) G) (k) (1) t+y Int; y(l) 2 tct-y y(O) = dt x 1 dy y cosx++ sin x dy y sec2 t + sect tant + (2y+ tan t) 0 dt dy xy (x +2y)2 dx dy 3y(x2 +8y3r) dx dy 0 y x + xy cot x + x dy xy+(x2 + y 2) -o cb: clx -o dt dy 21 x e 2y O dx Cv Sy 61 cix 0
Step by Step Solution
There are 3 Steps involved in it
Get step-by-step solutions from verified subject matter experts
