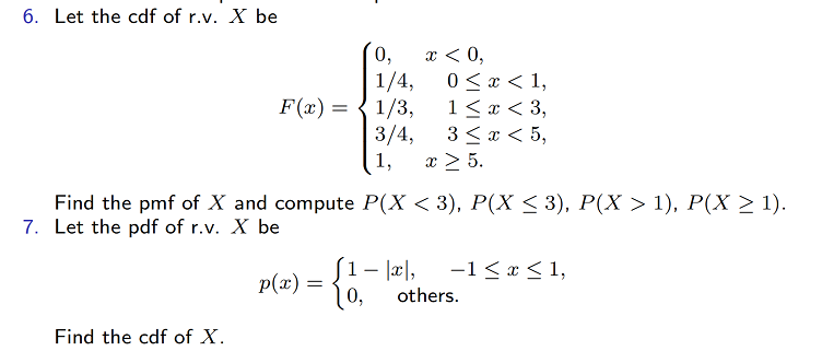
Question: 6. 7. 1 l:rl, Let the cdf of r.v. X be 1/4, 1/3, 3/4, Find the pmf of X and compute P (X <


6. 7. 1 l:rl, Let the cdf of r.v. X be 1/4, 1/3, 3/4, Find the pmf of X and compute P (X < 3), P (X 3), P (X > 1), P (X 2 1). Let the pdf Of r.v. X be O, Find the cdf Of X. others.
Step by Step Solution
There are 3 Steps involved in it
Get step-by-step solutions from verified subject matter experts
