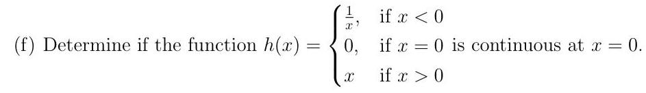
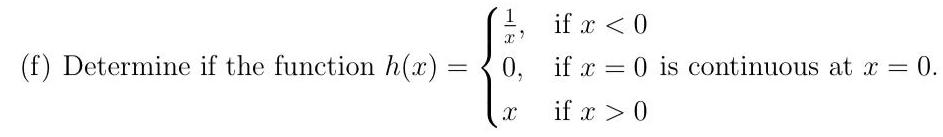
Question: f Determine if the function h x if x 0 0 if x 0 is continuous at x 0 if x 0 8 X


f Determine if the function h x if x 0 0 if x 0 is continuous at x 0 if x 0 8 X
Step by Step Solution
There are 3 Steps involved in it
Get step-by-step solutions from verified subject matter experts
