Question: (F) What happens when the standard deviation is really close to zero ? (G) What happens when the time to maturity is really close to

(F) What happens when the standard deviation is
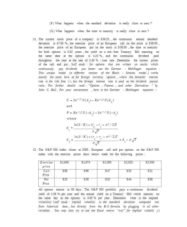
(F) What happens when the standard deviation is really close to zero ? (G) What happens when the time to maturity is really close to zero ? 11. The current stock price of a company is $39.25 , the continuous annual standard deviation is 47.00 9%, the exercise price of an European call on the stock is $36.00 the exercise price of an European put on the stock is $36.00 , the time to maturity for both options is 0.82 years , the yield on a risk -free Treasury Bill maturing on the same date at the options is 4.23 9%, and the continuous dividend paid throughout the year at the rate of 2.40 96 / year rate . Determine the current prices of the call and put . Self study : for options that are written on stocks which continuously pay dividends you better use the Garman - Hohlhagen equation This unique model (a different version of the Black - Scholes model ) works exactly the same here as for foreign currency options , where the domestic interest rate is the risk free i.r, but the foreign interest rate is used as the dividend payout ratio . For further details read : "Options , Futures , and other Derivatives " by John C. Hull . For your convenience , here is the Garman - Hohlhagen equation C = Se"/N (d,) - Ke-& N(d,) and P = Ke-:N (-d,) - Se",N(-d.) where In (5 / K) + (r -r, + 62 / 2)I .= In(5 / K ) + (r - r, - G: /2)I d = d - o /I 12. The S&P 500 index closes at 2000 . European call and put options on the S&P 500 index with the exercise prices show below trade for the following prices : Exercise $1,950 $1,975 $2,000 $2,025 $2,050 price Call $ 88 $ 66 $47 $33 $21 Price Put $25 $26 $32 $44 $58 Price All options mature in 88 days . The S&P 500 portfolio pays a continuous dividend yield of 1.56 6 per year and the annual yield on a Treasury -Bill which matures on the same day as the options is 4.63 96 per year . Determine what is the implied volatility (self study : implied volatility is the standard deviation computed not from historical data , but directly from the B-S formula by plugging in all other variables . You may also try to use the Excel macro "ivol " for implied volatilit y)

Step by Step Solution

There are 3 Steps involved in it

1 Expert Approved Answer
Step: 1 Unlock blur-text-image
Question Has Been Solved by an Expert!

Get step-by-step solutions from verified subject matter experts

Step: 2 Unlock
Step: 3 Unlock

Students Have Also Explored These Related Finance Questions!