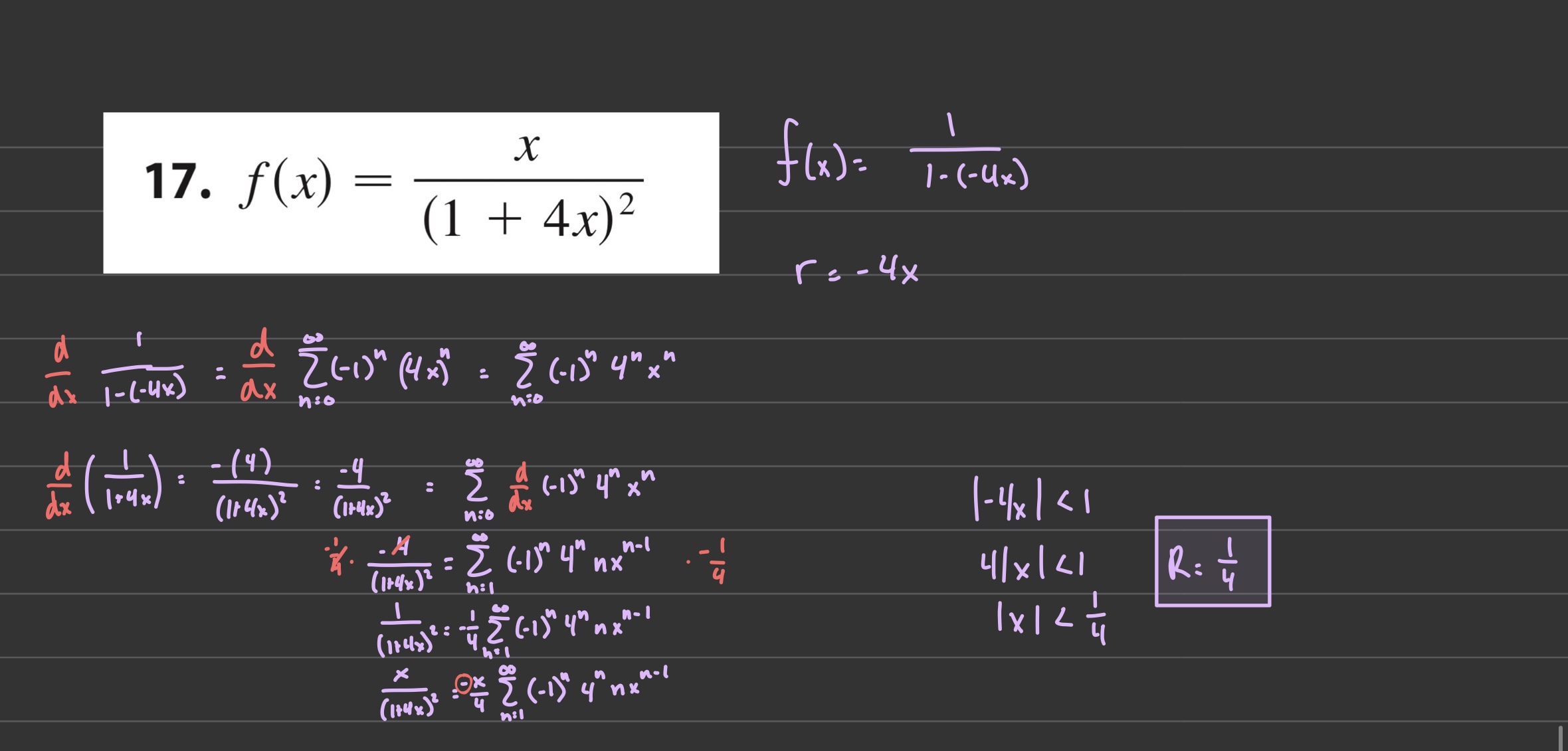
Question: f17. f (x) = f ( x ) = (1 + 4x) 2 1 - (-4x) re - 4 x 1 - ( - 4x




\f17. f (x) = f ( x ) = (1 + 4x) 2 1 - (-4x) re - 4 x 1 - ( - 4x ) ax no n: 0 - (4 ) 1+4 x ( 1+ 4 x) ? (1+4 x )2 To ( - 1) 4" xn n : 0 1- 4 x /
Step by Step Solution
There are 3 Steps involved in it
1 Expert Approved Answer
Step: 1 Unlock
Question Has Been Solved by an Expert!
Get step-by-step solutions from verified subject matter experts
Step: 2 Unlock
Step: 3 Unlock
