Question: f2: Assume that 4i. = 5i: m and E = 121} m (where the m means meters). a: On the fourth set of axes provided.


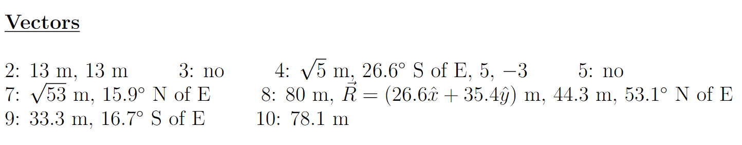
\f2: Assume that 4i. = 5i: m and E = 121} m (where the m means meters). a: On the fourth set of axes provided. graphically determine fl + g and A. E. b: Determine l+ El and M: 3|. This (potentially odd) answer emphasizes that these are vectors, not scalars. 3: Vectors 4i and 8' have unequal magnitudes. Is it possible that Al. + E = 0'? Explain. For the remainder of the assignment, make certain you provide your own draw- ings. If theyr are so small we really can't read them, we will consider them to be wrong. 4: Assume that 4i. = (23": 3;) H1 and that g = (i- + (13:!) n1. a: Determine the magnitude and direction of A, and draw this vector on your own set of axes. b: If Ijl El : 5 I11. determine the possible value(s) of (x. 5: Can the magnitude of an object's displacement be larger than the distance it has traveled? Explain. 6: If the component of g is zero in the direction of if what can you determine about the relative orientation of the two vectors? 7: Determine the magnitude and direction of 225: g. Use All = (33": + 23(3) m and B' : (ii-1L 2y) m. (Don\"t forget that you must have a drawing.) 8: A diamondback rattlesnake is slithering across the sand. It makes several displacements. Assume that each one is basically in a straight line. The rst displacement is 30 n1 to the east. The second displacement is 35 m at an angle 30 west of north. The last displacement is 15 m at an angle 20" north of east. a: Determine the distance the rattlesnake traveled. b: Graphically determine its displacement vector. (3: Determine the x and y components of that displacement. d: Determine the magnitude and direction of that displacement. 9: Player A kicks a soccer ball 20 m at an angle 65\" north of west to player B. Player B then kicks the hall to player C. If player C is 25 m at an angle 20\" north of east (relative to player A) determine the magnitude and direction of player B's kick. (Don't forget that you must have a drawing.) 10: While exploring a cave. a spelunker undergoes two displacements. During the rst displacement. she travels 100 m north: 25 in west and 40 m downward. During the second displacement. she travels 60 m south, 35 m west and 10 m upward. How far does she end up from her original starting point? (Don't worry about trying to draw a diagram for this threedimensional problem.)
Step by Step Solution
There are 3 Steps involved in it
Get step-by-step solutions from verified subject matter experts
