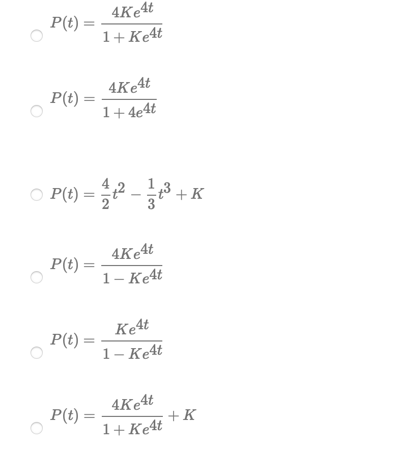
Question: f4K e4t O P(t) = 1 + Ke4t 4K e4t O P(t) 1 + 4e4t O P(t) = to + K O P(t) = 4K




\f4K e4t O P(t) = 1 + Ke4t 4K e4t O P(t) 1 + 4e4t O P(t) = to + K O P(t) = 4K e4t 1 - Kett P(t) = Ke4t O 1 - Ke4t P(t) = 4K e4t O 1 + Ke4t +K
Step by Step Solution
There are 3 Steps involved in it
Get step-by-step solutions from verified subject matter experts
