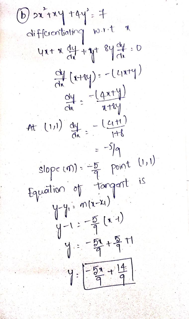
Question: fa. Verify that the given point lies on the curve. b. Determine an equation of the line tangent to the curve at the given point.






\fa. Verify that the given point lies on the curve. b. Determine an equation of the line tangent to the curve at the given point. 2 2x +xy+4y2=7; (1,1) a. How do you know that the point is on the given curve? The point (1,1) is in the domain of the implicit function. The value of 2x2 + xy+ 4y2 is less than 7 when x is 1 and y is 1. The point (1,1) is in the rst quadrant. The value of 2x2 + xy+ 4y2 is 7 when x is 1 and y is 1. b. Write the equation for the tangent line in slope-intercept form. FD (Use integers or fractions for any numbers in the equation.) differentiating writ n dx yx+ x 94 + + + By dy : 0 Cdx ( x-+sy) : - (Lixty ) dy - (4 x+4) At ( 1, 1 ) dy - ( 4 +1 ) 1+8 - )/9 slope (m ) : -5 9. point ( 1 , 1 ) Equation of tangent is 4- y, : m ( x - x1 ) 4 - 1 : - 2 ( x 7 ) y.: - 51 + 2 7 9 y - 5* + 14. 9 9
Step by Step Solution
There are 3 Steps involved in it
Get step-by-step solutions from verified subject matter experts
