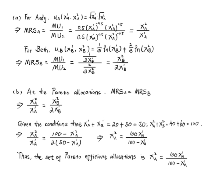
Question: fAl ( Equilibrium, 25 Points) Suppose there are two goods and two consumers, Andy (A) and Beth (B). Andy's utility function is denoted by uA(TA,


\fAl ( Equilibrium, 25 Points) Suppose there are two goods and two consumers, Andy (A) and Beth (B). Andy's utility function is denoted by uA(TA, XA) = VIAVx4 where a, is the amount Andy consumes of good 1 and 4 is the amount Andy consumes of good 2. His endowment consists of 20 units of good 1 and 40 units of good 2. Beth's utility function is denoted by UB(TB, TB) = } In(TB) + In(TB) where TB is the amount Beth consumes of good 1 and T'? is the amount Beth consumes of good 2. Her endowment consists of 30 units of good 1 and 60 units of good 2. (a) Compute the marginal rate of substitution for both Andy and Beth. [2] (b) Find the set of Pareto efficient allocations. 6] (c) Find a pair of Walrasian equilibrium prices and the corresponding allocation. [6] (d) Consider the allocation where Andy consumes 25 units of good 1 and 30 units of good 2. Is it possible to redistribute the original endowment of Andy and Beth such that this bundle arises as Andy's demand in a Walrasian equilibrium? [5] (e) Now, suppose there is a third consumer, Claire (C). Her utility function is denoted by uc(x2, x2) = Vad + vx where to is the amount Claire consumes of good 1 and x2 is the amount Claire consumes of good 2. Her endowment consists of 81 units of good 1 and 144 units of good 2. Will her presence on the market change the Walrasian price and the allocation for Andy and Beth? [6]
Step by Step Solution
There are 3 Steps involved in it
Get step-by-step solutions from verified subject matter experts
