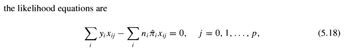
Question: fConsider the likelihood equations (5.18) for a logistic regression model. Using the equation resulting from the intercept parameter, show that the overall sample proportion of


\fConsider the likelihood equations (5.18) for a logistic regression model. Using the equation resulting from the intercept parameter, show that the overall sample proportion of successes equals the sample mean of the fitted success probabilities
Step by Step Solution
There are 3 Steps involved in it
Get step-by-step solutions from verified subject matter experts
