Question: fDetermine the limit algebraically, if it exists. 7) lim Determine the limit by substitution. I) lim 2) lim 3) lim 4) lim 5) lim 6)


















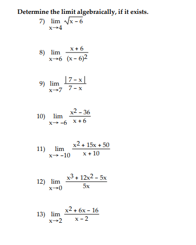
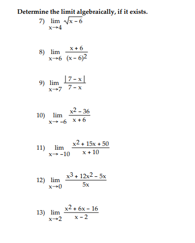
\fDetermine the limit algebraically, if it exists. 7) lim
Determine the limit by substitution. I) lim 2) lim 3) lim 4) lim 5) lim 6) lim (x2 5) (X3 * 5x2-7X* 1) x3 6x 8
Step by Step Solution
There are 3 Steps involved in it
Get step-by-step solutions from verified subject matter experts
