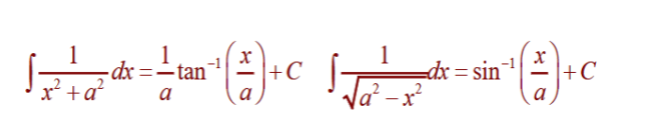
Question: fdx =-tan -1 dx = sin -1 + C x 2 + a * )+C Va -x2




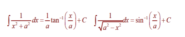
\fdx =-tan -1 dx = sin -1 + C x 2 + a * )+C Va -x2
Step by Step Solution
There are 3 Steps involved in it
1 Expert Approved Answer
Step: 1 Unlock
Question Has Been Solved by an Expert!
Get step-by-step solutions from verified subject matter experts
Step: 2 Unlock
Step: 3 Unlock
