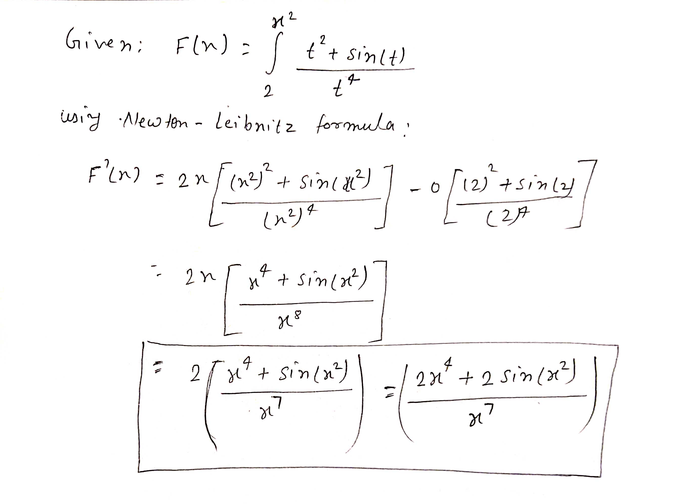
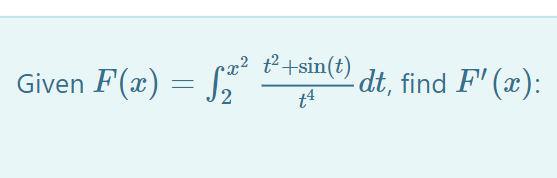
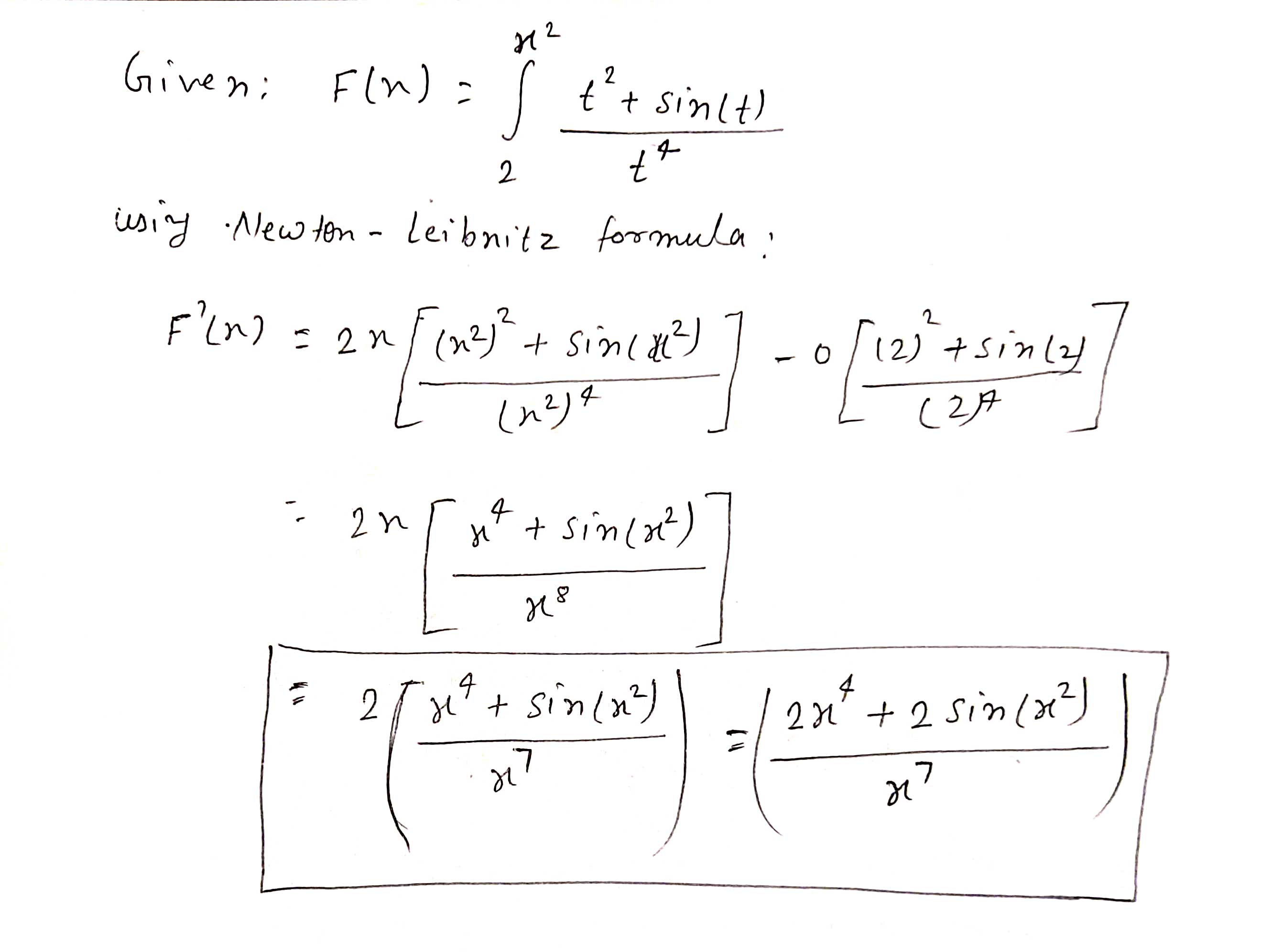
Question: fEvaluate the following integral. Use exact values (no decimals). e 19x + cos(x) dx = 1 x2 + 20x + 18 Check








\fEvaluate the following integral. Use exact values (no decimals). e 19x + cos(x) dx = 1 x2 + 20x + 18 Check
Step by Step Solution
There are 3 Steps involved in it
Get step-by-step solutions from verified subject matter experts
